Inverse Property Fully Explained Math Interactive Notebook Math For Kids Simplifying Expressions
Free Materials To Help Students Learn How To Solve One Step Equations Involving Multiplying And Dividing A Long With A One Step Equations Equations First Step
Inverse Equations Division Worksheet Education Com Inverse Operations Division Worksheets Pre Algebra Worksheets
Inverse Property Of Multiplication Math Poster Math Poster Inverse Property Of Multiplication Properties Of Multiplication
Algebraic Equation Proof Practice Algebra Equations Teaching Math Inverse Property Of Addition
Inverse Operations Subtraction Worksheet Education Com Inverse Operations Multiplication Pre Algebra Worksheets
Properties Of Operations Associative Property Inverse Property Commutative Property Addition Multiplication 6th Gr Math Word Walls Math Charts Math Notes
Inverse Property Fully Explained Math Interactive Notebook Math School Math Subtraction
Inverse Functions Inverse Functions Trigonometry Algebra Help
Equations Multi Step 1 Whiteboard Animation Solving Multi Step Equations Like Terms Combining Like Terms
This Inverse Operations Poster Set Reviews Solving One Step Equations A Poster Reference Sheet And Guided Note One Step Equations Solving Equations Equations
Inverse Trigonometric Functions 15 In 2020 Trigonometric Functions Mathematics Worksheets Studying Math
Inverse Relationships Addition And Subtraction Range 1 To 9 A Algebra Works Algebra Worksheets Addition And Subtraction Worksheets Free Math Worksheets
Inverse Proportion Statements Proportion Math Algebra Equations Math
Properties Of Multiplication Sort Activity Properties Of Multiplication Math Properties Math Sort
Foldable Numbers Properties Teaching Mathematics Number Properties Math Lesson Plans
Making Sense Of Inverse Operations Inverse Operations Math Integers Math Interactive Notebook
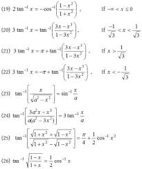
Inverse Trigonometric Functions Class 12 Notes Maths Chapter 2 Learn Cbse Class12mathsnotes Inver Trigonometric Functions Class 12 Maths Math Formula Chart
What Are The Inverse Trigonometric Functions A Plus Topper Mathematics Worksheets Studying Math Algebra Formulas