Do Now Pass Out Calculators 1 Compare And Contrast Factoring 6x 2 X 2 With Factoring X 2 X 2 Factor Both Of The Problems Above Write A Few Ppt Download
Property November 1987
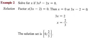
Zero Product Property Solving Quadratic Equations Quadratics Gre Math
Solved For The Polynomial Below 2 Is A Zero Express F X Chegg Com
Chapter 6 Quadratic Functions Ppt Video Online Download