Distributive Property With Negative Exponents Youtube
Exponent Rules Distributive Property Of Exponents
Math Equation Solver
Math Exponents Why Exponents Are Used In Mathematics Is Explained Using Everyday Examples
Using The Distributive Property Answers Do Not Include Exponents Distribute Easy Math Distribute Easy Math Worksheets Worksheets Sketch Graph Calculator Christmas Math Activities For 3rd Grade Nursery Worksheets Free Printable 5th Grade
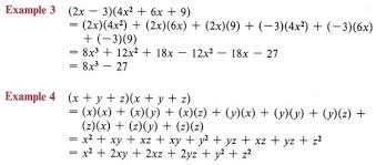
Multiplying Polynomials
Distributive Property Solve Equation
The Using The Distributive Property Answers Do Not Include Exponents A Math Worksheet Page 2 Exponent Worksheets Distributive Property 6th Grade Worksheets
Math Question Value Of Two Coins
Expand Terms Multiply Polynomials With Step By Step Math Problem Solver
Polynomials And Their Operations
Practice Your Skills For Chapter 4 Pdf
Foil Method
Video Evaluating Numerical Expressions With Integer Exponents Using The Distributive Property Nagwa
Distributive Property 5 Clear Examples To Use In Class Prodigy Education
Algebra Worksheets For Simplifying The Equation Algebra Worksheets Simplifying Rational Expressions Free Printable Math Worksheets
Common Core Algebra I Unit 1 Lesson 4 The Distributive Property Youtube
Arithmetic Properties Commutative Associative Distributive Commutative Associative Property Math Properties
Algebra Worksheets For Simplifying The Equation Algebra Worksheets Free Math Worksheets Pre Algebra
It S Fine In The Middle Interactive Notebooks Distributive Property Math Math Properties Math Notebooks