Kseeb Solutions For Class 8 Maths Chapter 7 Rational Numbers Ex 7 3 Kseeb Solutions Kseebsolutionsforclass8mathschapter7 Kse Class 8 Math Rational Numbers
Selina Concise Mathematics Class 8 Icse Solutions Chapter 1 Rational Numbers Cbse Tuts Cbsetuts Selinaconcisemathemati In 2020 Rational Numbers Mathematics Class 8
Kseeb Solutions For Class 8 Maths Chapter 7 Rational Numbers Ex 7 3 Kseeb Solutions Kseebsolutionsforclass8mathschapter7 Kse Rational Numbers Class 8 Math
Selina Concise Mathematics Class 8 Icse Solutions Chapter 1 Rational Numbers A Plus Topper Maths Solutions Math Vocabulary Rational Numbers
Kseeb Solutions For Class 8 Maths Chapter 7 Rational Numbers Ex 7 3 Kseeb Solutions Kseebsolutionsforclass8mathschapter7 Kse Class 8 Math Rational Numbers
Properties Of Integers With Worked Solutions Examples Videos Math Properties Associative Property Commutative Property
Selina Concise Mathematics Class 8 Icse Solutions Chapter 1 Rational Numbers Rational Numbers Mathematics Class 8
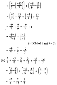
Selina Concise Mathematics Class 8 Icse Solutions Chapter 1 Rational Numbers A Plus Topper Maths Solutions Rational Numbers Commutative
Rs Aggarwal Class 8 Solutions Chapter 1 Rational Numbers Ex 1d 8 2 Http Www Learninsta Com Rs Aggarwal Class 8 Solution Rational Numbers Class 8 Solutions
Selina Concise Mathematics Class 8 Icse Solutions Chapter 1 Rational Numbers Cbse Tuts Icsesolutions Concisemathsclass8 Co Mathematics Maths Exam Class 8
Pin On Number Worksheets
Kseeb Solutions For Class 8 Maths Chapter 7 Rational Numbers Ex 7 4 Kseeb Solutions Kseebsolutionsforclass8mathschapter7 Kse Class 8 Rational Numbers Math
Rational Numbers Ncert Extra Questions For Class 8 Maths Chapter 1 01 Rational Numbers This Or That Questions Math
Math Word Wall Cards Properties Of Operations Math Words Math Word Walls Math Properties
Rational Numbers Rd Sharma Class 8 Solutions Exercise 1 2 Rational Numbers Class 8 Solutions
Makemathsimple Dhrutisahani Questions Based On Commutative Distributive Property Class 8 Youtube In 2020 Commutative Distributive Property Rational Numbers
Rational Numbers Rd Sharma Class 8 Solutions Exercise 1 2 Rational Numbers Class 8 Solutions
The Real World Properties Of Rational Numbers Help You To Understand The Basics Of Rational Number Before This I Th Rational Numbers Studying Math Commutative
Selina Concise Mathematics Class 8 Icse Solutions Chapter 1 Rational Numbers Cbse Tuts Cbsetuts Selinaconcisemathemati Class 8 Mathematics Rational Numbers